피타고라스의 수들 - 계산공식 및 정의
피타고라스의 수와 새로운 공식 소개
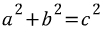
피타고라스의 정리는 수학의 기초적인 원리 중 하나로, 직각삼각형의 빗변의 제곱이 다른 두 변의 제곱의 합과 같다는 것을 말합니다.
그리고 이 정리에서 도출된 피타고라스의 수는 (a, b, c)와 같이 세 개의 정수로 이루어진 집합으로, 이들은 a² + b² = c²를 만족합니다. 대표적인 예로 (3, 4, 5), (5, 12, 13), (7, 24, 25) 등이 있습니다.
기존의 유클리드 공식은 피타고라스의 수를 구하는 데 있어 기본적인 방법으로 사용되어 왔습니다.
유클리드 공식은 다음과 같습니다: [ a = m^2 - n^2, \quad b = 2mn, \quad c = m^2 + n^2 ] 여기서 m과 n은 정수이며, m > n의 조건을 만족해야 합니다. 이 공식은 단순하고 강력하지만, 모든 피타고라스의 수를 간단하게 도출하는 데는 다소 불편한 점이 있습니다.
피타고라스의 수들
피타고라스 수 | |||
(3, 4, 5) | (5, 12, 13) | (6, 8, 10) | (7, 24, 25) |
(8, 15, 17) | (9, 12, 15) | (9, 40, 41) | (10, 24, 26) |
(11, 60, 61) | (12, 16, 20) | (12, 35, 37) | (13, 84, 85) |
(14, 48, 50) | (15, 20, 25) | (15, 36, 39) | (15, 112, 113) |
(16, 30, 34) | (16, 63, 65) | (17, 144, 145) | (18, 24, 30) |
(18, 80, 82) | (19, 180, 181) | (20, 21, 29) | (20, 48, 52) |
(20, 99, 101) | (21, 28, 35) | (21, 72, 75) | (21, 220, 221) |
(22, 120, 122) | (23, 264, 265) | (24, 32, 40) | (24, 45, 51) |
(24, 70, 74) | (24, 143, 145) | (25, 60, 65) | (25, 312, 313) |
(26, 168, 170) | (27, 36, 45) | (27, 120, 123) | (27, 364, 365) |
(28, 45, 53) | (28, 96, 100) | (28, 195, 197) | (29, 420, 421) |
(30, 40, 50) | (30, 72, 78) | (30, 224, 226) | (31, 480, 481) |
(32, 60, 68) | (32, 126, 130) | (32, 255, 257) | (33, 44, 55) |
(33, 56, 65) | (33, 180, 183) | (33, 544, 545) | (34, 288, 290) |
(35, 84, 91) | (35, 120, 125) | (36, 48, 60) | (36, 77, 85) |
(36, 105, 111) | (36, 160, 164) | (36, 323, 325) | (38, 360, 362) |
(39, 52, 65) | (39, 80, 89) | (39, 252, 255) | (40, 42, 58) |
(40, 75, 85) | (40, 96, 104) | (40, 198, 202) | (40, 399, 401) |
(42, 56, 70) | (42, 144, 150) | (42, 440, 442) | (44, 117, 125) |
(44, 240, 244) | (44, 483, 485) | (45, 60, 75) | (45, 108, 117) |
(45, 200, 205) | (45, 336, 339) | (46, 528, 530) | (48, 55, 73) |
(48, 64, 80) | (48, 90, 102) | (48, 140, 148) | (48, 189, 195) |
(48, 286, 290) | (48, 575, 577) | (51, 68, 85) | (51, 140, 149) |
(52, 165, 173) | (52, 336, 340) | (54, 72, 90) | (54, 240, 246) |
(55, 132, 143) | (55, 300, 305) | (56, 90, 106) | (56, 105, 119) |
(56, 192, 200) | (56, 390, 394) | (57, 76, 95) | (57, 176, 185) |
(57, 540, 543) | (60, 63, 87) | (60, 80, 100) | (60, 91, 109) |
(60, 144, 156) | (60, 175, 185) | (60, 221, 229) | (60, 297, 303) |
새로운 공식의 도입
기존의 유클리드 공식의 불편함을 해결하기 위해 새로운 공식을 제안합니다.
이 공식은 다음과 같이 유도될 수 있습니다. 유클리드 공식에서 m = n + k라고 가정하고 이를 정리하면
[ a = (n + k)^2 - n^2, \quad b = 2(n + k)n, \quad c = (n + k)^2 + n^2 ]
이를 다시 정리하면
[ a = n^2 + 2nk + k^2 - n^2 = 2nk + k^2 ] [ b = 2n(n + k) = 2n^2 + 2nk ] [ c = n^2 + 2nk + k^2 + n^2 = 2n^2 + 2nk + k^2 ]
여기서 k를 m으로 바꾸어 표기하면
[ a = 2nm + m^2 ] [ b = 2n^2 + 2mn ] [ c = 2n^2 + 2nm + m^2 ]
이 새로운 공식은 m과 n이 정수라는 조건을 가지고 있으며, 기존의 유클리드 공식보다 더 직관적이고 사용하기 쉽습니다.
사용 예시
새로운 공식을 사용하여 피타고라스의 수를 구하는 방법을 예시를 통해 설명하겠습니다. 예를 들어, m = 1로 놓으면 다음과 같은 결과를 얻을 수 있습니다
[ a = 2n \cdot 1 + 1^2 = 2n + 1 ] [ b = 2n^2 + 2n \cdot 1 = 2n^2 + 2n ] [ c = 2n^2 + 2n \cdot 1 + 1^2 = 2n^2 + 2n + 1 ]
이와 같이, 새로운 공식은 n과 m의 값에 따라 다양한 피타고라스의 수를 간단하게 도출할 수 있습니다.
즉 피타고라스의 수는 무한하게 존재하며, 이를 구하는 방법은 여러 가지가 있습니다.
유클리드 공식은 기본적인 방법으로 많이 사용되었으나, 새로운 공식은 더 직관적이고 편리하게 사용될 수 있습니다. 이 새로운 공식을 통해 피타고라스의 수를 쉽게 찾아낼 수 있으며, 수학적으로도 매우 유용한 도구가 될 것입니다. 독자 여러분도 이 공식을 활용하여 다양한 피타고라스의 수를 구해보시기 바랍니다.